
集團動態 News Information

混凝土配合比設計計算法,我們幫你整理好了
現代混凝土是由水泥、礦物細摻料、砂、石、空氣、水和外加劑等組成的多相聚集體,并能滿足“高工作性、高早強增強和高耐久性”的基本要求。
現代混凝土應包括高性能混凝土、高強混凝土、流態混凝土、泵送混凝土、自流平自密實混凝土、防滲抗裂混凝土、水下澆筑混凝土和商品混凝土等。
以強度為基礎的傳統混凝土配合比設計方法不能滿足現代混凝土配合比設計的要求。
綜合考慮工作性、強度和耐久性。其配合比設計的基本原則是:
(1)滿足混凝土工作性的情況下,用水量要小;
(2)滿足強度的情況下,水泥用量少,多摻細摻料;
(3)材料組成及其用量合理,滿足耐久性及特殊性能要求;
(4)摻多功能復合超塑化劑(CSP),改善和提高混凝土的多種性能。
混凝土配合比設計是混凝土材料科學和工程應用中最基本的問題。
以強度為基礎的傳統配合比設計方法(即假定容重法和絕對體積法)已不能滿足現代混凝土配合比設計的要求。
現代混凝土配合比“全計算法”設計是以“工作性、強度和耐久性”為基礎建立的普適數學模型,并推導出混凝土用水量和砂率的計算公式。
進而將此二式與水膠(灰)比定則相結合就能實現混凝土配合比和組成的全計算,故稱謂全計算法。
全計算法的創建和推廣應用幾近十年,受到廣泛的關注,取得良好的技術經濟效益。
全計算法不僅適用于所有現代混凝土的配合比設計和計算,而且能檢驗和驗證其它配合比的正確性。
現代混凝土組成復雜,其中包括水泥、礦物細摻料、砂、石、空氣、水和外加劑等7個組分。
最簡單處理方法是用多項式表示:
F(x)=a+bx1+cx2+fx3+gx4+hx5+ix6+jx7
A.傳統混凝土體積加合模型(圖2)
混凝土由水泥、砂、石、空氣和水組成,在單位體積中:
(1)石子的空隙由砂子填充;
(2)砂子的空隙由水泥漿填充;
(3)水灰比決定混凝土的強度。
由此表明:Ve+Vs+Vg=1000
式中: Ve=Vw+Vc+Va
Ve、Vw、Vc、Va、Vs和Vg分別為水泥漿、水、水泥、空氣、砂和石子的體積(l/m3)。
這種體積加合模型與水灰比定則組成聯立方程不能求解。必須參照有關規范中的統計數據才能計算混凝土配合比。其坍落度是通過用水量調整的。以強度為基礎的傳統混凝土配合比設計方法已不適用于現代混凝土的要求。
B.現代混凝土體積相關模型(圖3)
混凝土由水泥、礦物細摻料、砂、石、空氣、水和外加劑等組分構成,在單位積體中:
(1) 石子間的空隙由干砂漿填充;
(2) 干砂漿中的空隙由水填充;
(3) 水膠比決定混凝土強度。
根據此模型:Vw+Ves+Vg=1000
其中、干砂漿由水泥、礦物細摻料、空氣和砂子組成,即:Ves=Vc+Vf+Va+Vs
在一定體系中,干砂漿體積是常數。Ves大小取決于石子的最大粒徑,石子粒徑越大、比表面積越小,因此Ves越小。Ves——干砂漿體積 (l/ m3 )
干砂漿體積由兩部分組成,即石子空隙率和拔開系數:
Ves=(1+h)p×1000 (4-2)
式中:
p-石子空隙率,取決于石子堆積方式、顆粒形狀和級配。
h-撥開系數,取決于石子的比表面積和包裹層厚度。
粒子呈六方最密堆積時,空隙率為0.3954。
當采用最大粒徑19mm的碎石配制60MpaHPC時,Ve=350、Vs+Vg=650、Vs:Vg=2:3,W=160kg/m3。其干砂漿體積為:
Ves=1000-Vw-Vg=1000-160-390=450(l/ m3)
p=0.3954,
h= (0.45-0.3954)/0.3854 =0.138
由于h取決于石子的比表面積,隨著石子最大粒徑增加比表面積減小,因此Ves減小(h減小)。表1中列舉了Ves與石子最大粒徑的關系。
將表1中h=0.138×1/a=0.138×361/φ2=50/φ2代入式(4-2)得到:
Ves=(1+50/φ2)p×1000 (l/m3) (4-3)。
此式表明,干砂漿體積與石子最大粒徑的平方成反比。
石子空隙率——石子最密堆積時的空隙率(0.3954);
另外、漿體體積由水、水泥、礦物細摻料和空氣體積組成,即:
Ve=Vw+Vc+Vf+Va
對于不同類型的混凝土Ve取值:
HPC、HSC:Ve=350l/m3;
FLC或其它混凝土:Ve=305~335l/m3。
集料體積:Vs+Vg=1000-Ve (6)
將此模型能得到關系式(3)~(6)與水膠比定則組成聯立方程,可求解混凝土各組分的用量,實現配合比全計算。
根據混凝土的普適體積相關模型(圖-2)和有關參數可以得到砂率計算公式:
這是砂率計算的通式。
當ρs≈ρg時(即ρs=2.65,ρg=2.70),上式簡化為:
砂率計算公式的物理意義
此式(7)表明,混凝土的砂率:
(1)隨著用水量增加而增大;
(2)隨著石子最大粒徑的增大(或Ves減小)而減小;
(3)隨著漿體體積(Ve)增加而減小。
砂率計算公式適用于中砂(Mx=2.60~2.80)和連續級配的碎石,其它情況可按有關規范適當調整砂率。采用粗砂或特細砂時:
SP=[(Ves-Ve+W)/(1000-Ve)+0.075×(Mx-2.80)]×100%
根據水膠比定則:
將式(8)與式(5)解聯立方程,可求出用水量與配制強度的關系:
此式(9)為計算各種不同摻量細摻料混凝土用水量的通式。式中ρc=3.15、ρf=2.51分別為水泥、礦物細摻料如(FA)的密度。
當 當x=0、即不摻細摻料時:
式中:W/B-水膠比。
當x=25%、即水泥與細摻料的體積比為75:25時:
式(9)中系數1/[(1-x)ρc+xρf]的大小與細摻料的體積摻量x有關。計算表明,x變化對該系數的影響不大(見表2)。
因此在用式(11)計算用水量時,該系數通常采用0.335。
用水量計算公式的物理意義
公式(9)、(10)和(11)表明:
(1) 混凝土的用水量取決于強度和水膠比,混凝土強度越高,水膠比越小,則用水量越少;
(2) 礦物細摻料的品種(密度不同)和摻量影響混凝土的用水量;
(3) 漿體體積越小,用水量越少;
(4) 引氣量越大,混凝土用水量越少。
1.配制強度:
fcu.p ≥fcu.o +1-645σ 或fcu.p=fcu.o+10
2.水膠比:
式中:fcu.p——混凝土配制強度(Mpa);
fce——水泥實測強度(Mpa); fce=1.13×fce.o
fce.o——水泥強度等級(Mpa);
W/B——水膠比;
A、B——回歸系數(見表3)
3. 用水量:
式中:對于HPC:Ve=350l/m3
對于FLC:Ve =305~335l/m3;
非引氣混凝土:Va=15l/m3;
引氣混凝土:Va=30~50l/m3(含氣量3%~5%)。
4. 膠凝材料用量:
C+FA=W/(W/B)=Q
FA=αQ
C =Q( 1-α)
式中: α- FA 的摻量(%)
C-水泥用量 ( kg/m3)
FA-礦物細摻料(如粉煤灰)用量(kg/m3)
5.砂率及集料用量:
S=(D-W-C-F)×SP
G=D-W-C-F-S
式中:Ves-干砂漿體積,取決于石子最大粒徑(見表1)
D-混凝土容重(2360~2440kg/m3)
式中:W、C、F、S和G-分別為水、水泥、細摻料、砂和石子的用量(kg/ m3 )。
6.復合超塑化劑(CSP)摻量:
式中: μ-濃度40%的CSP摻量(%)
Wo-坍落度7~9cm的基準混凝土用水量,與石子最大粒徑有關:
19 25 31.5 (mm)
215 210 205 (kg/m3)
W -配制混凝土的用水量(kg/m3)
Δη-坍落度從7~9cm提到16~24cm所需的減水率增量
Δη=0.005×Slo-0.04
Slo-配制混凝土的初始坍落度16~24cm。
1.恒景花園D樓工程混凝土配合比及試配試驗
A.C60HPC配合比計算
銀羊42.5Mpa硅酸鹽水泥、Ⅱ級FA(珠電)、中砂、碎石(1cm~3cm)、坍落度18cm~20cm,現場攪拌、泵送。
(1) 配制強度:fcu.p = 60+15 = 75 (Mpa)
(2)水膠比:W/ B=1/(75/28.5+0.52)=0.32
(3)用水量: (350-15)/(1+0.335/0.32)=164(kg/ m3 )
(4)膠凝材料用量:C+FA = 164/ 0.32 = 513 (kg/m3)
FA = 513×0.20 = 103 (kg/m3)
C = 531-103=410 (kg/m3)
(5)砂率及集料用量:
SP=(420-350+164)/650×100%=36%
由于采用單一粒級的碎石砂率應增加到SP=40%
S S=(2440-513-164)×0.40 =705 (kg/m3)
G=1763-705 =1058 (kg/m3)
(6)CSP摻量:
B C40FLC
(1) 配制強度:fcu.p=40+15 =55 (Mpa)
(2)水膠比
(3) 用水量:
(4) 膠凝材料用量:
C+FA=180/0.41=439(kg/m3)
FA=493×0.23=101(kg/m3)
C=493-101=338(kg/m3)
UEA= 493×0.10=44(kg/m3) (外摻)
Ve =180+338/3.15+101/2.5+44/2.7+15=359 (L)
(5)砂率及集料用量:
摻UEA:
由于采用單一粒級的碎石砂率應增加到SP=40%
S=(2400-439-44-180)×0.40=695(kg/m3)
G=1743-695 =1042(kg/m3)
普通FLC:
由于采用單一粒級的碎石砂率應增加到SP=41%
S = (2400-439-180)×0.41=730(kg/m3)
G =1781-730=1051(kg/m3)
(6)CSP摻量:
現將A和B試配結果列入表4中。
2.普硅3.25Mpa水泥,Ⅱ級FA(摻20%),中砂(Mx=2.80), 碎石(1~3cm) 配制各種強度的FLC計算配合比列入表5中。
3. 固定用水量法設計FLC 的配合比
配合比設計步驟如下。
(1) fcu.p: fcu.p = fcu.o +1.645σ
(2) 水膠比: W/B =1/(fcu.p/Afce+B)
(3) 用水量:在170~185 Kg/m3范圍選擇。
(4) 膠凝材料用量: C +FA =W/(WB) =Q
FA= αQ
C = Q( 1 - α)
(5) Ve計算:
Ve = Vw+Vc+Vf+Va =W/ρw+C/ρc+FA/ρf+Va
式中:ρw ,ρc ,ρf , - 分別表示水,水泥和粉煤灰的密度( 1.0,3.15和2.50)
(6) 砂率及集料用量:
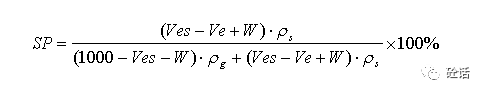
SP =(Ves-Ve+W)/(1000-Ve)×100%
S = ( D-W-C-FA)×SP
G =( D-W-C-FA)×(1-SP)
固定用水量法用于計算FLC實例
采用普硅525水泥(寶山),中細砂(Mx=2.50),碎石(5~31.5mm),摻CL-2緩凝減水劑配制C20,C25和C30 FLC,初始坍落度15~18cm。20FLC配合比計算如下:
(1) fcu.p = 20+1.645×4=27
(2) W/C: W/C =1/(27/23.05+0.52) = 0.59 (取0.58)
(3) 用水量:W = 185 kg/m3
(4) C = 185/0.58 =319 kg/m3;Ve = 186 + 319/3.15 +15 = 301
(5) 砂率及集料用量:
SP=(420-301+185)/(1000-301)× 100% =43%
由于砂子偏細應減小砂率(SP= 40%)
S=(2400-185-319)×0.40=758
G=1896-758=1138
(6) CL-2摻量:
μ= [(205-185)/205+0.04]×8.34% = 1.15%
C25, C30 FLC配合比計算步驟相同,現將混凝土試配結果列入表6。
碎石(5~25mm)
此例證(表-7)預示了一個方向,采用復合超塑化劑配制低標號的高性能混凝土,這對商品混凝土是十分重要的。由于膠凝材料用量少,既提高了混凝土的綜合性能,又大大降低了成本。
1.混凝土配合比全計算法設計是建立在普適“體積相關模型”的基礎上,并且通過嚴格的數學推導得到用水量和砂率的計算公式。
將此二式與水膠比定則相結合實現了混凝土配合比和組成的全計算,解密了混凝土各組分之間的定量關系。
2.實踐表明全計算法設計適用于高性能混凝土、高強混凝土、流態混凝土、泵送混凝土、自流平自密實混凝土、防滲抗裂混凝土、水下澆筑混凝土和商品混凝土等所有的現代混凝土。并且可用于其它方法設計的配合比的檢驗和驗證。
3與傳統混凝土配合比設計方法相比,全計算法設計更簡便、快捷、精確、實用和科學。(見表8)。
